Intro
안녕하세요, 제하공제입니다.

주요 내용을 복습하고
바로 문제로 넘어가 보도록 하겠습니다.
간단한 공정예제를 통해
압축기의 이상적인 일과
실제 요구되는 투입 일의
공정 계산을
수행해 볼 예정입니다.
압축기는
열(dQ=0)의 출입이 없으므로,
등엔트로피(dS=0) 과정으로
설계되며,
비가역적 에너지 손실에 의해
실제 요구 일 에너지(Ws)는
이상적인 요구 일(Wideal)보다
더 큰 값을 가진다고 했습니다.
이러한 실제 일 에너지를 구하기 위해
아래 슬라이드와 같은 공정 계산을 수행하며,
최종적으로 압축기를 빠져나가는
유체의 온도 역시
예측할 수 있게 됩니다.

공정 소프트웨어를 사용하면,
뚝딱? 계산되는 부분이겠지만,
공정 엔지니어라면,
어떤 Logic으로 결과값을 도출하는지
모든 Process를 이해하고 있어야 합니다.

1) 압축의 경우,
이상 가역 공정의 투입 최소 일(Wideal)이
실제 비가역 요구 일(Ws) 보다 작다.
이 경우,
최종 투입 해야 하는 일(Ws)의 양은
이상적인 일(Wideal)을
장치 효율로 나눠서 계산한다.
2) 반대로 팽창의 경우,
가역 이상 공정의 최대 일(Wideal)은
실제로 생산되는 일(Ws) 보다 크다.
따라서,
실제 생산되는 일(Ws)의 양은
이상적인 일에
장치 효율을 곱하여 계산한다.
압축기(Compressor) 공정 설계
본 예제는,
0.5kg/s의 유량으로 흐르는 Propane기체가
초기 조건 298K, 101.3 kPa에서
500 kPa까지 압축될 때,
80% 효율을 갖는
압축기의 요구 일(Ws) 에너지와
최종 온도(Tout)를 구하는 것입니다.
ENG
0.5 kg s -1 of propane
at 298 K and 101.3 kPa are compressed
to 500 kPa in a compressor
with an isentropic efficiency of 80%.
The gas obeys the Virial equation of state.
Calculate
(1) The Work done during compression.
(2) The temperature of the gas after compression.
DATA

설계 Design
| Process Equipment | Contents |
| Compressor / Expanders (Turbines) | Used to transfer Gases and Vaporous without heat exchange to/from fluid. Only Work exists P & T Change, Irreversible |
Calculation Procedure
1) 가역 압축 공정
2) 등엔트로피(dS=0) 공정 계산
3) Tout_ideal 계산 후
엔탈피 변화 계산(△H)
4) 에너수지 식에 따라 이상적인 일(Wideal) 계산
5) 위 값에 효율을 나누어
실제 투입되어야 하는
요구 일(Ws) 에너지 계산
6) 이상적인 에너지수지식에 따라
엔탈피 변화량(△Hreal) 계산
7) 최종 실제 출구 온도(Tout_real) 계산

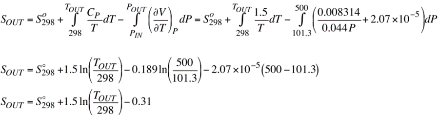
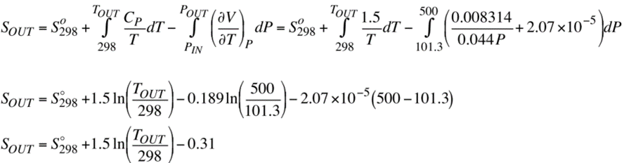
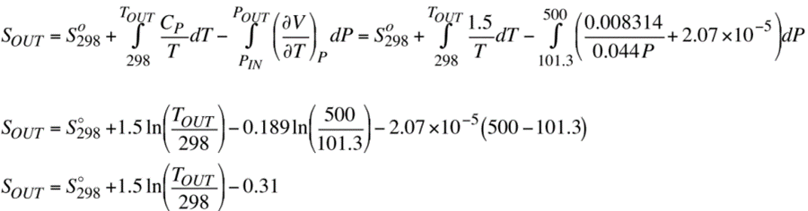
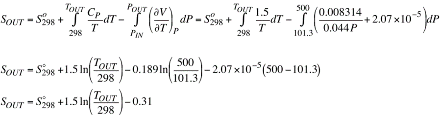
가역 압축 공정은 등엔트로피 공정입니다.

S out의 경우,
최종 온도, 압력에서의 엔트로피입니다.
주어진 Properites Equation에 근거하여
정리하면 아래와 같이
나타낼 수 있습니다.


T out을 계산하기 위해,
주어진,
Virial Equation of State를 사용하여
공정계산을
전개해 보겠습니다.

알고 있는 변수들을 입력하면
아래와 같습니다.

가역 공정을 가정했으므로,

최종 T out 온도를 계산하면,
366.4K를 구할 수 있습니다.

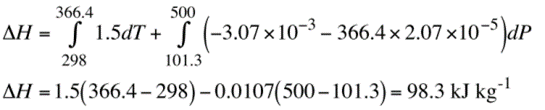
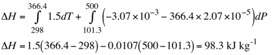
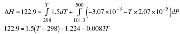
다음으로, 온도변화를 구했으니,
엔탈피 변화량을
계산할 수 있습니다.

위에서 주어진 Data를 활용하면,
아래와 같이 전개할 수 있습니다.

등엔트로피 공정의
압축기의 에너지평형식에 따라
일(W)을 계산합니다.


압축기 효율에 따라,
실제로 투입되어야 하는
일(W) 에너지를 계산해야 합니다.


따라서,
0.5 kJ s-1 Propane을 압축하기 위한
최종 에너지는
W = 61.5 KW 가 됩니다.

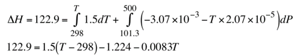
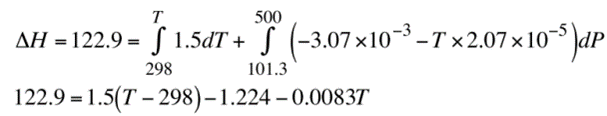
여기서 끝이 아니죠?
이제 Actual 출구 측 온도를
계산하면 됩니다.
우리는 엔탈피변화와
에너지 평형식을 사용해 구할 수 있습니다.

주어진 Data와
Virial Equation of State를 활용하면,
아래와 같이 전개가 가능합니다.

따라서, Actual T out 은
382.9K로 계산할 수 있습니다.

위와 같은 세부 과정을
열역학적 관점에서 이해하고
필요한 수식을 전개하여,
원하는 공정 Properties Value를
계산하는 것이
공정설계입니다.
공정 소프트웨어를 활용하여
다양한 공정에 대한
깊이를 더하기 전에
열역학 기초를
쌓는다는 생각으로
이해해보시기 바랍니다.

그럼 다음시간에 뵙겠습니다.
감사합니다.

댓글