Intro
안녕하세요, 제하공제입니다.

지난 시간,
엔탈피의 변화를 계산하기 위해서는
온도와 압력 변화뿐만 아니라,
부피 변화를
온도와 압력의 함수로 표현하는 것이
중요하다고 말씀드렸습니다.
그럼,
부피와 온도 압력의 상관관계를
알아보도록 하겠습니다.
Relationships of Volume between Pressure and Temperature for a Gas
아래 두 슬라이드와 같이,
기체의 경우 압력이 증가할수록
dP항의 부피를 온도와 압력의 상관관계로
표현하는 것이 복잡해집니다.
온도, 압력 그리고 부피 간의 상관관계를
"상태 방정식(Equation of State, EOS)"이라고 부릅니다.

500 kPa 이하 압력에서의
이상기체 상태 방정식은
다음과 같으며,
R 은 위 슬라이드를 참고하면 됩니다.
PV = RT/ M

압력이 2000 kPa 이상으로 올라가면,
(대기압의 20배)
Virial Equation of State를 통해
상관관계를 정의할 수 있습니다.
V = RT/PM + B/M
여기서, B는 Second Virial Coefficient입니다.
이보다 더 압력이 올라갈 경우,
Cubic Equations of state가 적용됩니다.

따라서,
비리얼 계수(B)를 사용한 손 계산까지는
설계자가 쉽게 예측할 수 있으나,
그 이상의 압력에서
온도, 압력, 부피 간의 관계를 예측하는 것은
상당한 어려움이 따릅니다.


따라서,
설계자는 HYSYS와 같은
공정해석 소프트웨어를 사용해
"Ep06. 순수 유체의 부피 특성"에서 언급 한
아래 가이드라인 등을 참고하여
각 기체의 유체 특성과 운영 조건에 맞는
상태방정식(Peng Robinson, SRK 등)을
선택하여 공정 계산을
수행하는 것이 중요합니다.

Example : Calculating the Enthalpy Change (△H)
아래의 간단한 공정 예제를 통해
엔탈피 변화 계산 방법을
확인해 보도록 하겠습니다.


5kg/s의 질량유속으로 흐르는 물을
상온, 대기압에서 => 450K, 6 bar로
가열 압축할 경우
엔탈피 변화를 계산하고자 합니다.
여기서,
실제의 공정변화 경로(Actual Path)와
그에 대응하는 대안 경로(Alternative Path)에 대해
생각해 보도록 하겠습니다.
우리가 계산하고자 하는 엔탈피(H)는
세기 성질로 상태함수 값이라고 말씀드렸습니다.
다시 말해,
특정 운영 조건(온도, 압력)에서
각 물질이 갖는 엔탈피 값은
변함(고정)이 없다는 뜻입니다.
때문에,
엔탈피 변화를 계산하기 위해
현상을 확인할 수 없는
명확한 실제 공정경로가 아니더라도,
대안 경로를 가정하여,
최종 운전조건의 물질 상태를
동일하게 만들어주기만 한다면,
최종 엔탈피 변화량은 모두 같다는 것입니다.
본 예제의 대안 경로는,
일정압력(101,300 Pa)으로
물을 ① 현열 가열(298K to 300K, 끓는점),
② 잠열 가열(300K),
③ 수증기 가열(300K to 450K) 한 뒤,
등온상태(450K)로 최종 압력인
④ 600,000Pa까지 압축하는 것입니다.
대안경로를 간단히 삽화로 정리한다면
아래와 같이, 가열 후 압축하는 공정을
만들었을 때, 엔탈피 변화,
즉, 공정의 에너지 변화량을
계산할 수 있습니다.

Solution
지난 시간 엔탈피 변화와
온도 압력 간의 관계를 알아본
아래의 선도를 통해
실제 경로와, 대안경로를 그려보았습니다.

대안 경로를 아래와 같이
헌열과 잠열 구간으로도 나타낼 수 있습니다.

먼저,
일정 압력으로 가열은
현열(액체), 잠열, 현열(기체)의
세 구간으로 나누어집니다.
Module 01에서 일정압력의 경우
투입된 열은
모두 엔탈피로 전환됨을 논하였고,
열용량과 온도변화의 곱으로
구할 수 있음을 배웠습니다.
dP = 0

문제에서 주어진 대로,
액체, 기체의 열용량은
온도의 함수로 나타나며,
잠열은 Table 값으로 문제에서 주어졌습니다.

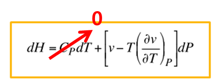
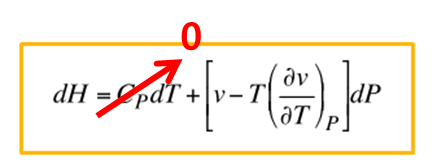
다음으로,
마지막 공정 변화는
일정 온도에서 최종 압력으로
압축하는 것입니다.
아래 슬라이드와 같이 dT항은 ‘0’이 되며,
부피 항은 주어진 온도, 압력 관계에 따라
정리할 수 있습니다.

따라서,
압력 변화에 따른
엔탈피 변화를 계산할 수 있습니다.
최종 엔탈피 변화량은
초기 상태에 지니고 있는
물질의 엔탈피 값(H1=1,587,944)에
다음 4가지 엔탈피양을 더함으로써,
최종 엔탈피(H2=21,578,245J)를
구할 수 있습니다.

1. 온도, 압력 조건에 맞는 EOS를 정의한다.
2. 엔탈피 변화량은 상태함수로,
최종 온도 압력을 위한 대안경로를 설계한다.
3. 최조의 엔탈피양에서 대안경로에 필요한 엔탈피를
모두 더해 최종 엔탈피 변화량을 계산한다.
지금까지, 엔탈피 변화와
온도, 압력 간의 상관관계에 대해
살펴보았습니다.
위와 같이 정리한 계산 과정을 이해하고 있어야,
HYSYS와 같은 공정 소프트웨어를 활용하더라도,
계산 결과에 대한 타당성을
설계자 스스로 검토할 수 있으므로,
확실하게 이해하는 것이 중요합니다.
다음시간에는,
엔트로피(S) 변화와
온도, 압력 간의 관계에 대해
소개하도록 하겠습니다.
감사합니다.

댓글