Intro
안녕하세요, 제하공제입니다.
지난 시간 내용을 간단히 정리하면 아래와 같습니다.
공정을 설계한다는 것은,
아래의 공정장치들을 사용해,
유동물질을,
열역학 계산을 통해,
원하는 온도(T)와 압력(P) 조건으로 만들고,
필요한 에너지양을
제어하는 것입니다.
| 흐름공정 내 열역학 | |
| 공정장치 (Process Equipment) | 펌프, 열교환기, 탱크, 팽창기, 벨브, 열교환기 등 Pump, Compressor, Tank, Expander, Valve, Heat Exchager., |
| 유동물질 (Fluid) | 물, 오일, 가스, 암모니아, 메탄올, 글리콜, 아민 등 |
| 열역학 계산 (Thermodynamics Calculation) | 이송, 분리, 압축, 팽창, 가열, 냉각 등 |
그럼,
각 장치의 Input과 Output 조건을 위해,
필요한 에너지양을
어떻게 계산할 수 있는지
알아보도록 하겠습니다.

How Enthalpy Changes with Temperature and Pressure
먼저,
엔탈피 변화를 아래 슬라이드의 선도를 통해
배워보겠습니다.

각 축은
압력, 온도 증가에 따른
엔탈피 변화를 나타내며,
기-액 상 변화가 발생할 경우 포화 곡선(Saturation Line)과,
온도가 변하지 않고 엔탈피(H)만 증가하는
잠열(Vaporization) 구간 등을
보여줍니다.
위 선도를 기준으로,
시스템에 열(Q) 또는 일(W)을
공급하면 어떻게 엔탈피가
변화하는지 아래 선도를
통해 읽어보도록 하겠습니다.
Heat(Q) is added to a system
아래 선도는,
대기압(일정압력) 조건에서,
열(Q)이 공급될 때의
유체 특성 변화를 보여줍니다.

A-B 액체 구간은,
투입되는 열이 모두 액체의 온도를 올리는 데 사용되는,
헌열 구간으로,
엔탈피 역시 증가합니다.
B-C 구간에서,
액체에서 기체로의
상변화가 시작되며,
투입된 열이 상변화에 사용되어,
온도 변화는 발생하지 않으므로,
수직으로 엔탈피가 증가하는 것을 볼 수 있습니다.
즉, 잠열 구간으로
상당한 양의 열이 투입되어야 하며,
이렇게 투입된 열에너지는 엔탈피의 수직 증가를 통해,
내부 에너지로 저장됨을 확인할 수 있습니다.
마지막으로 C-D 구간에서는
포화 증기의 온도가 지속적으로 상승하는
헌 열구 간으로,
증기의 온도가 계속 올라 가열증기로 변하며,
엔탈피 역시 증가하게 됩니다.
Work(W) is done on a system
아래 슬라이드와 같이
시스템에 일이 추가된다는 것은,
액체의 경우 펌프를 통한 압축과,
기체의 경우 압축기와 팽창기를 사용한
압축 및 팽창 과정으로 확인할 수 있습니다.

액체는 비압축성 유체로 압력이 증가하여도,
그 부피의 변화가 크지 않으므로,
엔탈피와 온도의 변화가 크게 발생하지 않습니다.
하지만,
기체의 경우 압축과 팽창에 의해,
그 부피가 상당히 변하게 되며,
압력 증가에 따라
온도와 엔탈피가 함께 증가하는 것을 볼 수 있습니다.
How Enthalpy Changes with Temperature and Pressure
뒤에서 다뤄질 공정 장치들의
엔탈피, 엔트로피 변화 계산을 위해서는
온도, 압력 변화에 대해 이해해야 하며,
부피 변화 역시 온도와 압력의 함수로 표현함으로써
공정방정식을 계산할 수 있다는 개념도
함께 알아두어야 합니다.
따라서,
아래의 엔탈피 계산을 위해
우리가 알아야 할 수치는
액체, 기체의 열용량(C)입니다.

열용량이란,
아래 링크를 통해 설명드렸으니,
참고부탁드립니다.
2023.02.04 - [분류 전체 보기] - Ep05. 엔탈피(H)와 열용량(Heat Capacity)
Ep05. 엔탈피(H)와 열용량(Heat Capacity)
Intro 안녕하세요, 제하공제입니다. Ep.04에서는 열역학 1법칙인 에너지 보존의 법칙에 대해서 알아보았습니다. 즉, 열 에너지는 형태만 변하게 될 뿐, 그 양은 일정함을 의미합니다. 다시 말해, 형
jadehouse1000.com
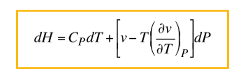
또한,
각 상의 엔탈피 변화는,
압력변화(dP) 항에
따라 다르게 계산합니다.
액체의 경우,
압축에 따른 부피변화가 미소하기 때문에
압력 변화에 대한 엔탈피 변화는
오로지 열용량(Cp)과 온도 변화(dT)의 관계로 구해지며
dP항은 무시할만하다고 가정합니다.
반면에,
압력에 따라 상당한 부피변화를 나타내는
기체의 경우,
dP 항이 복잡하게 표현됩니다.

엔탈피 계산을 위한
온도, 압력 변화에 대해
위와 같이 정리해 보았습니다.
부피 변화 역시 온도와 압력의 함수로 표현함으로써
공정방정식을 계산할 수 있다는 개념도
함께 알아두어야 한다고 말씀드렸는데요.
기체의 경우 압력이 증가할수록,
dP항의 부피를
온도와 압력의 상관관계로
표현하는 것이 복잡해집니다.
다음시간에 이어서,
부피변화와 온도 압력 관계를
풀어보도록 하겠습니다.
감사합니다.

댓글