Intro
안녕하세요 제하공제입니다.
3일간 교육출장을 다녀와 글이 늦어졌네요. 거두절미하고, 바로 시작해 보겠습니다.
지난 시간에 다룬 엔트로피(S)에 대해 간단히 정리를 한 후 관련 예제를 풀어보는 게 좋을 것 같습니다.
에너지의 총합이 보존되더라도 사용가능한 에너지는 감소하는 방향으로 진행됨
= 엔트로피는 증가하는 방향으로 이동
= 고립된 계에서 엔트로피는 감소하지 않는다.

시스템 내의 물질계가 어떤 절대 온도에서 단위 온도 당 가진 열에너지 양을 수학적으로 나타낸다면 그것이 위에서 정의한 엔트로피(S)가 됨.
이러한 전체 엔트로피 변화는 실제 비가역 공정에서 항상 0보다 큰 값을 갖는 방향으로 에너지가 이동함.

예제 1 물이 얼 때, 엔트로피 변화
Q1. 0℃, 1.50 kg의 물을 냉동고에 넣고 열을 제거하여 0℃의 얼음으로 만들었다. 물이 어는 동안 물-얼음 계의 엔트로피 변화는 얼마인가? (Latent Heat: 334 kJ/kg)

풀이 1
열역학 관련 문제에 접근을 할 때는, 해당 시스템의 처음과 끝 상태를 확인해주어야 합니다. 물이 얼음으로 바뀌는 동안 처음 온도와 최종 온도가 변함없이 일정하다는 것을 확인할 수 있습니다. 즉, Constant = T.
여기서 지난 시간 학습한 수학적 정의를 이용해 엔트로피의 변화를 계산해 보겠습니다.
- 먼저, 상태변화가 발생하는 동안 변화된 잠열(Q) 에너지를 계산해야 합니다.
- 다음으로, 온도 변화가 없기 때문에 dS를 dQ에 대해 적분하면 Delta(S) = Q/T 가 됩니다.
- 따라서, 1. 번과 2번 계산한 값을 대입하면, 아래와 같이 최종 엔트로피(S) 변화량을 계산할 수 있습니다.

온도와 마찬가지로 엔트로피 역시 실생활에서 접함으로써 물리적 의미에 대해 알 수 있다고 말씀드렸습니다.
얼음에 어떤 에너지도 가하지 않은 상태로 두게 되면, 얼음은 상온 상압에서 자연스럽게 녹아 물이 되게 됩니다. 여기서 우리는 '자연스럽게'란, "엔트로피가 증가하는 방향" 이란 것을 지난 시간에 배웠습니다.
*NOTE
Latent Heat 은 얼음에서 물로 액화될 때 필요한 열량이므로, 물에서 얼음으로 응고될 때 부호는 (-)로 열이 방출됨.
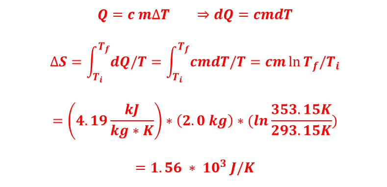
예제 2 물이 따뜻해질 때, 엔트로피 변화
Q2. 20.0℃, 2.00 kg의 물에 열을 가하여 80.0℃까지 온도를 증가시켰다. 물의 엔트로피 변화는 얼마인가?
(Specific Heat Capacity = 4.19 kJ/kgK)
풀이 2
첫 번째 문제와 마찬가지로 처음과 끝의 상태를 확인해 보자.
- 먼저, 상태 변화 없이, 온도가 증가하는 동안 변화된 헌열(Q)을 계산해야 합니다.
- 다음으로, 온도 변화가 있기 때문에, dS를 dQ에 대해 적분하면 Delta(S) = CMdT/T 가 됩니다.
- 따라서, 1번과 2번 게산값을 대입하면, 아래와 같이 최종 엔트로피(S) 변화량을 계산할 수 있습니다.

물의 온도를 올리기 위해 에너지를 주입하여, 엔트로피 변화량은 증가하는 방향으로 시스템을 계산할 수 있습니다.
여기서, 의문이 생기죠. 상온, 상압에서 물은 80.0℃ 까지 "자연스럽게" 증가하지 않으므로, 반대 방향으로 진행된 상태변화는 예제 1과 같이 엔트로피 변화가 음수가 되어야 하지 않을까요?
아래 문제를 마지막으로 풀어보면서, 열역학은 계(System)와 주위(Surround)의 관계에 따라, 총 엔트로피(S) 변화를 확인해야 함을 이해해 보겠습니다.
문제 1
Q3.. 피스톤-실린더 장치에서 100 ℃ 의 포화증기가 들어있다. 정압 과정을 하는 동안에 주위로 500kJ의 열량이 방출되어 피스톤-실린더 장치 내의 수증기가 응축된다. 다음을 구하여라. (단, 주위의 온도는 30 ℃이다.)
- 수증기의 엔트로피 변화
- 이 과정 중 주위의 엔트로피 변화
- 이 과정은 가역, 비가역, 불가능 중 어떠한 과정에 해당하는지를 밝혀라
(반드시, 이유를 전체엔트로피 변화와 함께 밝힐 것)
풀이 3
예제 문제를 기억하면 아래와 같이 계산할 수 있습니다.
1. 피스톤-실린더(계:System) 안의 수증기는 예제 1번과 같이 온도 변화 없이 열(Q) 에너지 만을 주위로 전달합니다.
2. 주위(Surround)는 이 에너지를 받지만, 온도변화가 일어나지 않을 만큼 충분히 많은 대기로 둘러 쌓여 있습니다.
3. 전체 엔트로피를 계산합니다.

이 공정은 전체 엔트로피가 증가하는 비가역 과정에 속한다고 판단할 수 있습니다.
결론
우리가 함께 풀어본 문제와 같이,
각 검사 질량에서의 엔트로피 변화는 양의 값 또는 음의 값이 될 수 도 있음
그러나, 전체 시스템의 엔트로피는 항상 0보다 큰 값인 비가역 방향으로 에너지가 이동하며, 가역과정에서 최소 0이 됨
설계자가 공정을 설계하고자 할 때, 이러한 전체 시스템의 엔트로피가 음수를 나타낼 경우, 해당 공정은 열역학 2법칙에 위배되며 불가능한 공정임을 증명할 수 있음
여기까지가 Module 01에 해당하는 열역학의 기본 이론 이해입니다.
처음 글로 공학 이론을 풀어쓰다 보니, 논리구조나 이해를 위한 설명 자료들이 부족해 보이네요. 차근차근 시간을 내어 적었던 글들을 수정하고 업데이트하는 시간을 투자해 보도록 하겠습니다.
Module 02는 Module 01의 열역학 개념을 바탕으로 공정 시스템을 구성하는 각 장치들(열교환기, 펌프, 압축기 등)의 열 및 물질 수지를 계산하고, 입력값에 따른 각 장치의 출력값을 열역학 수학 모델을 이해하기 위한 과정입니다. 본격적으로, HYSYS을 활용한 공정계산을 하기에 앞서 가장 중요한 기초 이론이라고 할 수 있습니다.
누락된 내용들도 보이고 해서, Module 01에서 부족했던 내용들은 Module 02에서 알차게 보충하면서 글을 이어가 보도록 하겠습니다.
그럼 오늘은 여기에서 인사드리겠습니다.
감사합니다.
댓글