Intro
안녕하세요. 제하공제입니다.
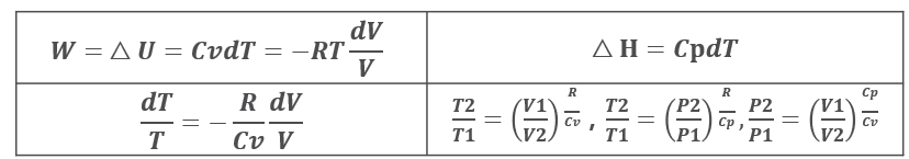
지난 Ep08. 에서 다뤄본 예제가 어떠셨나요? 주어진 열역학 특성값(Cp, Cv)을 미리 알고, 이상기체를 가정하여 방정식(PV/T=k)을 단순하게 정의할 수만 있다면, 상변화에 따른 열역학적 에너지 변화를 계산하는 것은 크게 어렵지 않습니다.
다만, 실제로는 복잡한 화합물이나 화학반응 또는 극저온과 같이 물성의 특성과 방정식을 정의하는 것이 어렵습니다. 따라서, HYSYS와 같은 공정계산 시뮬레이터를 사용하여 물성값과 열역학 공정 계산을 수행해야 합니다.
다시 말해, 시뮬레이터를 사용하면 쉽게 계산할 수 있는 공정 계산이면서도, 그 근본이 되는 열역학 이론은 사실 특성값과 지배방정식을 단순하게 만든다면 직접 손으로도 계산하고 이해할 수 있다는 뜻입니다.
이 부분이 매우 중요합니다. 설계자는 시뮬레이터를 사용하더라도, 이러한 열역학 논리구조에 근거하여 Input과 output 간의 관계를 예측할 수 있으며, 공정을 직접 해석하고 변수를 조정하여 미세한 공정 변화를 만들어 낼 줄 알게 됩니다.
이제 시작하는 지점이지만, 공정설계자로 변수 하나로 시스템의 변화를 예측할 수 있을 때까지 차근차근 배워가 보도록 하겠습니다.

이상기체 공정계산 예제 2
1 bar, 298.15 K (25℃)의 공기가 다음과 같은 두 가지의 서로 다른 역학적으로 가역적인 공정들에 의하여 5 bar, 298.15K로 압축된다.
- 일정부피에서 가열한 후에 일정압력에서 냉각
- 등온압축
- 단열 압축 후 일정한 부피에서 냉각
각 경로에 대하여 소요되는 열(Q)과 일(W), 그리고 공기의 △U와 △H를 계산하여라.
공기는 온도에 무관한 다음의 열용량을 갖는다고 가정한다.
( Cv = 20.78, Cp = 29.10 J/mol*K )
1 mol 기준 계산 공기는 어떠한 변화를 겪든지 항상 PV/T가 일정하다고 가정한다.
(298.15K와 1 bar에서 몰부피는 0.02479 m3/mol)

문제풀이
(1) 일정 부피에서 가열한 후 일정 압력에서 냉각
Ep08과 동일한 문제입니다. 결과값을 다시 한번 정리하면, 먼저 최종 V2는 아래와 같습니다.

또한, 모두 최종 온도가 변하지 않기 때문에, 온도의 함수인 내부에너지(△U)와 엔탈피(△H)는 최종 상태에서 △U=△H=0이고, 열에너지(Q)와 일(W)을 계산하였습니다.

(2) 등온압축
Ep07. 에서이상기체의 등온 압축식을 참고부탁드립니다.

(3) 단열압축 후 일정한 부피에서 냉각
① 단열압축
먼저, 단열 압축 공정을 수행할 때 최종 부피로 압축이 되어야 하므로, 아래 Ep07 수식에 근거하여 중간 온도(T')를 계산할 수 있습니다.



단열조건이므로 Q=0이며, 위 식에 따라서 일(W)은 내부에너지와 같아 다음과 같이 계산할 수 있습니다.

② 일정부피 냉각
일정 V에서 냉각하는 두 번째 단계의 경우 dP=0이므로, W=0입니다.

따라서, 예제 (3)의 경우에는, W= 5,600J이고, Q=-5,600J입니다.
문제해설
각 공정에서 △U와 △H 같은 상태함수의 변화는 최종 온도에 따라 0이지만, 열(Q)과 일(W)은 경로에 관계가 되는 것을 확인할 수 있습니다. 이를 PV 선도에 따라 나타내면 아래의 그림과 같이 확인할 수 있습니다. 1,2,3 과정이 a, b, c의 경로입니다. 그래프를 해석해 보면 역학적으로 가역인 공정들은 모두 1 -> 2로 이동합니다. 여기서 일(W)은 -PdV로 계산할 수 있기 때문에 각각의 경로 아래의 총면적에 비례하게 된다는 것을 알 수 있습니다.

하루에 한 두 문제씩 다루면서 진행해 보록 하겠습니다.
다시 한번 강조하자면,
최종 상태를 만들기 위한 공정 경로는 단 한 가지 설계가 아니며,
최적화 설계가 가능하다.
1. 내부에너지와 엔탈피 변화량(△U,△H)은 최종 열역학 물질 상태(P, T, V)에 따라 고정 값을 갖는 상태함수이다. 다시 말해, 공정 전개 순서와 상관없이 최종 상태의 변화량은 항상 같다.
2. 하지만, 열(Q)과 일(W)은 공정 순서에 따라 입력, 출력되는 값이 다른 경로함수이다.
3. 따라서, 설계자는 최대 생산 일(W)을 만들 수 있는 공정 경로를 설계하기 위해 여러 공정 순서로 물질의 상태를 변화시키며, 최소한의 투입 에너지(Q, W)로 공정을 구성할 수 있다.
4. 또한, 내부에너지와 엔탈피 변화량(△U,△H)은 온도에 관한 함수(U(T), H(T))로, 초기 상태와 최종 상태의 온도가 같다면 내부에너지와 엔탈피 변화량(△U,△H)은 항상 0이다.
다음 챕터에서 뵙겠습니다.
감사합니다.
댓글